tidytext

[R] 4. Relationships between words: n-grams and correlations

택2 2021. 7. 18. 19:22
반응형

4. Relationships between words: n-grams and correlations

4. 1. Tokenizing by n-gram

  • 지금까지 unnset_tokens() 함수를 사용하여 단어, 또는 문장으로 토큰화를 진행했었는데,
    이러한 토큰 단위는 감정 또는 빈도 관련 분석에 유용합니다.
  • 그러나 해당 함수를 사용하여 n-grams라고 하는 연속적인 단어 시퀀스로도 토큰화를 할 수 있습니다.
  • 즉, 어느 단어 다음에 특정 단어가 얼마나 자주 나오는 지 확인함으로써 이들 사이의 관계를 확인해볼 수도 있습니다.
  • 방식은 간단합니다. unnest_tokens() 함수에 token = "ngrams"n = 2(연속되는 단어 수) arguments를 주면 됩니다.
library(janeaustenr)
austen_bigrams <- austen_books() %>% 
  unnest_tokens(input = text, output = "bigram", token = "ngrams", n = 2)

austen_bigrams
## # A tibble: 675,025 x 2
##    book                bigram         
##    <fct>               <chr>          
##  1 Sense & Sensibility sense and      
##  2 Sense & Sensibility and sensibility
##  3 Sense & Sensibility <NA>           
##  4 Sense & Sensibility by jane        
##  5 Sense & Sensibility jane austen    
##  6 Sense & Sensibility <NA>           
##  7 Sense & Sensibility <NA>           
##  8 Sense & Sensibility <NA>           
##  9 Sense & Sensibility <NA>           
## 10 Sense & Sensibility <NA>           
## # … with 675,015 more rows



4. 1. 1. Counting and filtering n-grams

  • 이도 마찬가지로 count() 함수를 사용하여 빈도를 체크해볼 수 있습니다.
austen_bigrams %>% 
  count(bigram, sort = TRUE)
## # A tibble: 193,210 x 2
##    bigram      n
##    <chr>   <int>
##  1 <NA>    12242
##  2 of the   2853
##  3 to be    2670
##  4 in the   2221
##  5 it was   1691
##  6 i am     1485
##  7 she had  1405
##  8 of her   1363
##  9 to the   1315
## 10 she was  1309
## # … with 193,200 more rows
  • separate() 함수는 구분자를 기준으로 컬럼을 여러 개로 분할하는 데 쓰일 수 있는 함수 입니다.
  • 이 함수를 가지고 위 결과를 두 개의 컬럼으로 분리할 수 있습니다.
  • astuen_bigrams 결과가 두 개의 단어를 띄어쓰기 공백으로 분리하였기에 구분자는 띄어쓰기 한 칸이 됩니다.
bigrams_separated <- austen_bigrams %>% 
  separate(
    col = bigram, 
    into = c("word1", "word2"),
    sep = " "
  )

bigrams_separated
## # A tibble: 675,025 x 3
##    book                word1 word2      
##    <fct>               <chr> <chr>      
##  1 Sense & Sensibility sense and        
##  2 Sense & Sensibility and   sensibility
##  3 Sense & Sensibility <NA>  <NA>       
##  4 Sense & Sensibility by    jane       
##  5 Sense & Sensibility jane  austen     
##  6 Sense & Sensibility <NA>  <NA>       
##  7 Sense & Sensibility <NA>  <NA>       
##  8 Sense & Sensibility <NA>  <NA>       
##  9 Sense & Sensibility <NA>  <NA>       
## 10 Sense & Sensibility <NA>  <NA>       
## # … with 675,015 more rows
  • stop_words를 활용하여 불용어를 제거한 후 빈도를 확인해보곘습니다.
data("stop_words")

bigrams_filtered <- bigrams_separated %>% 
  filter(!word1 %in% stop_words$word) %>% 
  filter(!word2 %in% stop_words$word)

bigram_counts <- bigrams_filtered %>% 
  count(word1, word2, sort = TRUE)

bigram_counts
## # A tibble: 28,975 x 3
##    word1   word2         n
##    <chr>   <chr>     <int>
##  1 <NA>    <NA>      12242
##  2 sir     thomas      266
##  3 miss    crawford    196
##  4 captain wentworth   143
##  5 miss    woodhouse   143
##  6 frank   churchill   114
##  7 lady    russell     110
##  8 sir     walter      108
##  9 lady    bertram     101
## 10 miss    fairfax      98
## # … with 28,965 more rows
  • Jane Austen의 책에서는 이름과 성이 가장 빈도가 높은 한 쌍임을 알 수 있습니다.

 

  • 또 다른 분석에서는 재결합된 단어로 작업할 수 있습니다.
  • unite() 함수는 separate() 함수와 반대로 열을 하나로 다시 결합할 수 있습니다.
  • 따라서 separate(), filter(), count(), unite() 함수를 사용하여 가장 일반적인 두 단어 쌍을 찾을 수 있습니다.
bigrams_united <- bigrams_filtered %>% 
  unite(
    col = "bigram",
    word1, word2,
    sep = " "
  )

bigrams_united
## # A tibble: 51,155 x 2
##    book                bigram     
##    <fct>               <chr>      
##  1 Sense & Sensibility NA NA      
##  2 Sense & Sensibility jane austen
##  3 Sense & Sensibility NA NA      
##  4 Sense & Sensibility NA NA      
##  5 Sense & Sensibility NA NA      
##  6 Sense & Sensibility NA NA      
##  7 Sense & Sensibility NA NA      
##  8 Sense & Sensibility NA NA      
##  9 Sense & Sensibility chapter 1  
## 10 Sense & Sensibility NA NA      
## # … with 51,145 more rows



4. 1. 2. Analyzing bigrams

  • 우리는 각 책에 언급된 “street”라는 단어에 관심이 있다고 가정합시다.
  • “street” 단어 이전에 어떤 단어들이 많이 나왔는 지 EDA 관점에서 접근하고 싶다면? 아래와 같이 입력해볼 수 있습니다.
bigrams_filtered %>% 
  filter(word2 == "street") %>% 
  count(book, word1, srot = TRUE)
## # A tibble: 33 x 4
##    book                word1       srot      n
##    <fct>               <chr>       <lgl> <int>
##  1 Sense & Sensibility berkeley    TRUE     15
##  2 Sense & Sensibility bond        TRUE      4
##  3 Sense & Sensibility conduit     TRUE      4
##  4 Sense & Sensibility harley      TRUE     16
##  5 Sense & Sensibility james       TRUE      1
##  6 Sense & Sensibility park        TRUE      1
##  7 Sense & Sensibility sackville   TRUE      1
##  8 Pride & Prejudice   edward      TRUE      1
##  9 Pride & Prejudice   gracechurch TRUE      8
## 10 Pride & Prejudice   grosvenor   TRUE      2
## # … with 23 more rows

 

  • 또한 ngram 역시 문장 단위 안에서 토큰으로 취급한 것이기에 TF-IDF 계산도 가능합니다.
bigram_tf_idf <- bigrams_united %>% 
  count(book, bigram) %>% 
  bind_tf_idf(
    term = bigram,
    document = book,
    n = n
  ) %>% 
  arrange(desc(tf_idf))

bigram_tf_idf %>% 
  group_by(book) %>% 
  slice_max(tf_idf, n = 10) %>% 
  ungroup() %>% 
  ggplot(aes(x = reorder(bigram, tf_idf), y = tf_idf, fill = book)) +
  geom_col(show.legend = FALSE) +
  facet_wrap(~ book, ncol = 2, scales = "free") +
  coord_flip() +
  labs(x = "bi-gram", y = NULL)

  • 개별 단어보다 ngram의 TF-IDF는 단일 단어를 계산할 때 보이지 않는 구조를 포착하고 토큰을 더 이해하기 쉽게 만드는 데 도움을 줍니다.



4. 1. 3. Using bigrams to provide context in sentiment analysis

  • 챕터 2에서는 사전을 활용하여 단순히 긍정적이거나 부정적인 단어의 빈도를 계산하였습니다.
  • 이제는 ngram을 구성하였으므로 단어 앞에 “not”과 같은 단어가 오는 빈도도 알 수 있습니다.
bigrams_separated %>% 
  filter(word1 == "not") %>% 
  count(word1, word2, sort = TRUE)
## # A tibble: 1,178 x 3
##    word1 word2     n
##    <chr> <chr> <int>
##  1 not   be      580
##  2 not   to      335
##  3 not   have    307
##  4 not   know    237
##  5 not   a       184
##  6 not   think   162
##  7 not   been    151
##  8 not   the     135
##  9 not   at      126
## 10 not   in      110
## # … with 1,168 more rows
  • 이를 가지고 AFINN 사전을 사용하여 각 단어에 대한 감정을 수치로 표현하고자 합니다.
not_words <- bigrams_separated %>% 
  filter(word1 == "not") %>% 
  inner_join(get_sentiments("afinn"), by = c(word2 = "word")) %>% 
  count(word2, value, sort = TRUE)

not_words
## # A tibble: 229 x 3
##    word2   value     n
##    <chr>   <dbl> <int>
##  1 like        2    95
##  2 help        2    77
##  3 want        1    41
##  4 wish        1    39
##  5 allow       1    30
##  6 care        2    21
##  7 sorry      -1    20
##  8 leave      -1    17
##  9 pretend    -1    17
## 10 worth       2    17
## # … with 219 more rows
  • 위 결과 중 하나를 보면 “not” 뒤에 오는 가장 일반적인 감정 관련 단어는 “like”이며 점수는 2입니다.
  • 이처럼 어떤 단어가 negative에 많이 기여했는지도 확인해볼 수 있습니다.
    • 단어 별 value 값에 빈도를 곱한 결과로 확인해볼 수 있습니다.
not_words %>% 
  mutate(contribution = n*value) %>% 
  arrange(desc(abs(contribution))) %>% 
  head(20) %>% 
  ggplot(aes(x = reorder(word2, contribution), y = contribution, fill = contribution > 0)) +
  geom_col(show.legend = FALSE) +
  coord_flip() +
  labs(y = "Sentiment value * number of occurrences", x = "Words preceded by \"not\"")



4 1. 4. Visualizing a network of bigrams with ggraph

  • 한 단어에 상위 몇 개만 표시하는 것을 넘어서 단어 간의 모든 관계를 동시에 시각화하는 데 관심이 있을 수 있습니다.
  • 이는 네트워크 그래프를 활용하여 정렬해볼 수 있습니다. (연결된 노드의 조합을 보이는 그래프 포맷)
  • 이 때 활용한 라이브러리는 igraph 라이브러리이며 tidy data에서 igraph 객체를 생성하는 함수인 graph_from_data_frame() 함수를 사용할 것 입니다.
  • 또한 시각화에는 ggraph 라이브러리를 사용합니다.
    • igraph 라이브러리에도 플로팅 함수가 있지만 ggplot2 문법이 익숙한 시각화 라이브러리인 ggraph 라이브러리를 사용합니다.
library(igraph)
## 
## 다음의 패키지를 부착합니다: 'igraph'
## The following objects are masked from 'package:dplyr':
## 
##     as_data_frame, groups, union
## The following objects are masked from 'package:purrr':
## 
##     compose, simplify
## The following object is masked from 'package:tidyr':
## 
##     crossing
## The following object is masked from 'package:tibble':
## 
##     as_data_frame
## The following objects are masked from 'package:stats':
## 
##     decompose, spectrum
## The following object is masked from 'package:base':
## 
##     union
library(ggraph)
bigram_counts
## # A tibble: 28,975 x 3
##    word1   word2         n
##    <chr>   <chr>     <int>
##  1 <NA>    <NA>      12242
##  2 sir     thomas      266
##  3 miss    crawford    196
##  4 captain wentworth   143
##  5 miss    woodhouse   143
##  6 frank   churchill   114
##  7 lady    russell     110
##  8 sir     walter      108
##  9 lady    bertram     101
## 10 miss    fairfax      98
## # … with 28,965 more rows
bigram_graph <- bigram_counts %>% 
  filter(n > 20) %>% # 빈도가 20회가 넘는 두 단어의 조합 식별
  graph_from_data_frame()
## Warning in graph_from_data_frame(.): In `d' `NA' elements were replaced with
## string "NA"
bigram_graph
## IGRAPH 68c3987 DN-- 86 71 -- 
## + attr: name (v/c), n (e/n)
## + edges from 68c3987 (vertex names):
##  [1] NA      ->NA         sir     ->thomas     miss    ->crawford  
##  [4] captain ->wentworth  miss    ->woodhouse  frank   ->churchill 
##  [7] lady    ->russell    sir     ->walter     lady    ->bertram   
## [10] miss    ->fairfax    colonel ->brandon    sir     ->john      
## [13] miss    ->bates      jane    ->fairfax    lady    ->catherine 
## [16] lady    ->middleton  miss    ->tilney     miss    ->bingley   
## [19] thousand->pounds     miss    ->dashwood   dear    ->miss      
## [22] miss    ->bennet     miss    ->morland    captain ->benwick   
## + ... omitted several edges
  • 위 객체를 가지고 ggraph() 함수를 적용하여 igraph 객체를 ggraph 객체로 변환할 수 있습니다.
  • 이후 ggplot2에서 레이어를 추가하는 것처럼 레이어를 추가하여 진행합니다.
  • 기본적으로 노드(node)와 가장자리(edge), 그리고 텍스트(text) 세 가지 레이어를 추가해야 합니다.
set.seed(2021)

ggraph(bigram_graph, layout = "fr") +
  geom_edge_link() +
  geom_node_point() +
  geom_node_text(aes(label = name), vjust = 1, hjust = 1)

  • 위 그래프에서 보면 “miss”, “lady”, “sir” 등의 단어를 중심으로 공통의 노드를 형성하고 종종 뒤에 이름이 붙는 것을 확인할 수 있습니다.
  • 더 나은 모양의 그래프를 만들기 위해 아래와 같이 몇 가지 작업으로 마무리합니다.
ggraph(bigram_graph, layout = "fr") +
  geom_edge_link(
    aes(edge_alpha = n), 
    arrow = grid::arrow(type = "closed", length = unit(.15, "inches")),
    end_cap = circle(.07, "inches"),
    show.legend = FALSE
  ) +
  geom_node_point(color = "lightblue", size = 5) +
  geom_node_text(aes(label = name), vjust = 1, hjust = 1) +
  theme_void()



4. 2. Counting and correlating pairs of words with the widyr package

  • 위에서 살펴보았듯 ngram으로 토큰화하는 작업은 인접한 단어 쌍을 탐색하는 유용한 방법입니다.
  • 그러나 우리는 특정 문서나 특정 챕터에서 나란히 발생하지 않는 경우에도 함께 발생할 가능성이 있는 단어에 관심을 가질 수 있습니다.
  • tidy data는 변수를 비교하거나 그룹화하는 데 있어서 유용한 구조이지만 행간의 비교는 다소 어려울 수 있습니다.
  • 예를 들어 두 단어가 동일한 문서에서 나타나는 횟수를 계산하거나 두 단어가 얼마나 상관관계가 있는 지 확인하기 위해서는 데이터를 wide format으로 변환해야 합니다. (행렬꼴)
  • widyr 라이브러리는 이러한 부분에 있어서 도움을 줄 수 있습니다.



4. 2. 1. Counting and correlating among sections

  • 아래 “Pride & Prejudice” 책의 내용을 가지고 단어들을 토큰화 시켜보겠습니다.
  • 섹션을 나누는 기준은 10줄 단위로 하겠습니다.
austen_section_words <- austen_books() %>% 
  filter(book == "Pride & Prejudice") %>% 
  mutate(section = row_number() %/% 10) %>% 
  filter(section > 0) %>% 
  unnest_tokens(
    input = text,
    output = "word",
    token = "words"
  ) %>% 
  filter(!word %in% stop_words$word)

austen_section_words
## # A tibble: 37,240 x 3
##    book              section word        
##    <fct>               <dbl> <chr>       
##  1 Pride & Prejudice       1 truth       
##  2 Pride & Prejudice       1 universally 
##  3 Pride & Prejudice       1 acknowledged
##  4 Pride & Prejudice       1 single      
##  5 Pride & Prejudice       1 possession  
##  6 Pride & Prejudice       1 fortune     
##  7 Pride & Prejudice       1 wife        
##  8 Pride & Prejudice       1 feelings    
##  9 Pride & Prejudice       1 views       
## 10 Pride & Prejudice       1 entering    
## # … with 37,230 more rows
  • widyr의 유용한 함수 중 하나는 pairwise_count() 함수입니다.
    • pairwise_word 변수의 각 단어 쌍에 대해 하나의 행을 구성하는 의미입니다.
    • item arguments에 단어가 들어가게 되고, feature arguments에 각 섹션이 들어가게 됩니다.
library(widyr)
word_pairs <- austen_section_words %>% 
  pairwise_count(
    item = word,
    feature = section,
    sort = TRUE
  )
## Warning: `distinct_()` was deprecated in dplyr 0.7.0.
## Please use `distinct()` instead.
## See vignette('programming') for more help
## Warning: `tbl_df()` was deprecated in dplyr 1.0.0.
## Please use `tibble::as_tibble()` instead.
word_pairs
## # A tibble: 796,008 x 3
##    item1     item2         n
##    <chr>     <chr>     <dbl>
##  1 darcy     elizabeth   144
##  2 elizabeth darcy       144
##  3 miss      elizabeth   110
##  4 elizabeth miss        110
##  5 elizabeth jane        106
##  6 jane      elizabeth   106
##  7 miss      darcy        92
##  8 darcy     miss         92
##  9 elizabeth bingley      91
## 10 bingley   elizabeth    91
## # … with 795,998 more rows
  • 그 결과 각 섹션에서 단어의 쌍에 대해 하나의 행으로 구성된 데이터가 출력됩니다.
  • 이를 통해 섹션 단위 기준으로 특정 단어와 함께 자주 노출되는 단어를 쉽게 찾을 수 있습니다.
# darcy는 elizabeth와 같은 주인공 인물이라고 합니다.
word_pairs %>% 
  filter(item1 == "darcy")
## # A tibble: 2,930 x 3
##    item1 item2         n
##    <chr> <chr>     <dbl>
##  1 darcy elizabeth   144
##  2 darcy miss         92
##  3 darcy bingley      86
##  4 darcy jane         46
##  5 darcy bennet       45
##  6 darcy sister       45
##  7 darcy time         41
##  8 darcy lady         38
##  9 darcy friend       37
## 10 darcy wickham      37
## # … with 2,920 more rows



4. 2. 2. Pairwise correlation

  • 아래 표를 가지고 파이 계수를 아래와 같이 정의할 수 있습니다.

 

  • 이는 binary data에서의 피어슨 상관계수와 동일한 포맷입니다.
  • 두 단어의 상관계수를 구하려면 pairwise_col() 함수를 사용할 수 있습니다.
word_corr <- austen_section_words %>% 
  group_by(word) %>% 
  filter(n() > 20) %>% 
  ungroup() %>% 
  pairwise_cor(
    item = word,
    feature = section,
    sort = TRUE
  )

word_corr
## # A tibble: 140,250 x 3
##    item1     item2     correlation
##    <chr>     <chr>           <dbl>
##  1 bourgh    de              0.951
##  2 de        bourgh          0.951
##  3 pounds    thousand        0.701
##  4 thousand  pounds          0.701
##  5 william   sir             0.664
##  6 sir       william         0.664
##  7 catherine lady            0.663
##  8 lady      catherine       0.663
##  9 forster   colonel         0.622
## 10 colonel   forster         0.622
## # … with 140,240 more rows
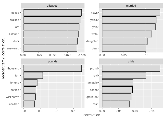
  • 이를 통해 특정 관심있는 단어를 필터링하여 가장 상관성이 높은 다른 단어를 찾을 수 있습니다.
word_corr %>% 
  filter(item1 %in% c("elizabeth", "pounds", "married", "pride")) %>% 
  group_by(item1) %>% 
  slice_max(correlation, n = 6) %>% 
  ungroup() %>% 
  ggplot(aes(x = reorder(item2, correlation), y = correlation)) +
  geom_bar(stat = "identity", colour = "black", fill = "grey85") +
  facet_wrap(~ item1, scales = "free") +
  coord_flip()

  • 마찬가지로 ggraph 라이브러리를 활용하여 상관계수에 기반한 네트워크 그래프를 출력할 수 있습니다.
word_corr %>% 
  filter(correlation > .15) %>% # 상관계수가 0.15를 넘는 단어 쌍에 대해서만 필터링
  graph_from_data_frame() %>% 
  ggraph(layout = "fr") +
  geom_edge_link(aes(edge_alpha = correlation), show.legend = FALSE) +
  geom_node_point(color = "lightblue", size = 5) +
  geom_node_text(aes(label = name), repel = TRUE) + # repel = TRUE arguments는 라벨링의 가독성에 도움을 줌
  theme_void()

반응형